中文马克思主义文库 -> 参考图书·左翼文化 -> 〔美〕安德鲁·克莱曼《大失败:资本主义生产大衰退的根本原因》(2012)
第七章 利润率为什么会下降
本章尝试说明利润率为什么下降。第一部分考察公司产出或收入在利润和雇员薪酬之间的分配。第二部分分解了利润率的变动,熟悉马克思主义经济学家对利润率变动的讨论的读者也会熟悉这个分解所采取的方式。然而,我发现这些操作既不充分又难以理解。这些操作把利润率分解为以复杂的方法所决定的变量而不是简单的变量,它们不是真正的因果分析,并且它们专注于名义变量和/或实物变量而忽视了经MELT调整的变量。因此在第三部分,我采用一种不同的方式来分解利润率的变动。我的分析的关键结论是,马克思的LTFRP与事实符合的非常好;这一规律以之为基础的那种关系,即就业相对于资本积累的低增长,说明了名义利润率自二战以来的大部分下降。
本章最后一部分证明了信息技术革命导致因陈旧过时而带来的折旧的增长,这一节还讨论了这种增长怎样影响了利润和利润率。我认为,在过去几十年中,这种折旧已经造成资本价值的大量消灭。由于资本价值的消灭是经济虚弱但却会提高盈利能力的标志,因此由技术进步带来的虚弱性甚至比由所衡量的利润率的下降所表现的虚弱性更加具有重要意义。我的估算表明,一旦我们控制了因陈旧过时而带来的折旧对盈利能力的促进作用,那么,利润率在过去几十年中的下降幅度会变得更大,并且利润率在1990年代至2000年间的泡沫期中的大部分增长也会被消除。
本章将只考虑财产收入利润率,因为我将关注收入在阶级间的分配——即雇员薪酬对财产收入——是如何影响利润率的。因为税前利润率只是财产收入的一部分,所以在这种语境下考虑税前利润率是没有什么用处的。
收入的利润份额
利润率未能恢复或许看上去显得奇怪,因为太多的文章都曾提到过去40年中发生的(经通货膨胀调整的)实际工资的停滞以及收入从工资到利润的再分配。然而工资的停滞是一个极为误导的现象,并且从工资到利润的再分配实际上也不是一个事实。狭义的工资和薪水并没有显著增长,这是正确的。但是,就像我将在第八章更为详细地讨论的那样,雇员薪酬的其他组成部分——雇主提供的健康和退休福利、雇主所支付的社会保障税和医疗保险税等等,增长得远比工资和薪水快得多。其结果是,总薪酬在公司收入中的份额并没有下降,利润在公司收入中的份额也没有上升。换句话说,收入并没有从工资再分配到利润;它是从工资再分配到了雇员的其他薪酬形式。
尽管总薪酬没有停滞,但它的确在最近几十年比二战后早期增长得更慢。图7.1提供了美国公司所生产的实际产出(净增加值)的年均增长率以及它们所支付的雇员实际薪酬的年均增长率。如果我们用GDP平减指数对通货膨胀进行调整,我们发现1973至2007年间的年均增长率比1947至1973年低41%。如果我们用消费者价格指数(CPI-U)对通货膨胀进行调整,我们发现年均增长率低了56%。此图清楚地表明,薪酬增长的下降伴随着、并且几乎可以完全归结为公司净增加值增长的类似程度的下降。[1]
图7.1 净增加值和雇员薪酬,美国公司
(年均增长率)
因此,雇员薪酬增长的放缓不是一个分配现象。它源自于资本主义生产的相对停滞。如图7.2所示,公司利润(财产收入)对其净增加值的百分比并没有增长。相反,这个百分比——我将称之为利润份额,随着时间的推移略有下降。自1947至1965年间,利润份额平均为32.2%,但它在接下来的5年中显著下跌。自1970至2007年间,它平均为29.0%,并且完全没有趋势。
图7.2 美国公司净增加值的利润份额
(财产收入对净增加值的百分比)
大体上说,过去40年中薪酬占据着净值的一个固定份额这一发现可能会造成误导,这是因为BEA的数字包含管理人员的薪酬。如果管12理人员薪酬存在着非常迅速的增长,那么尽管总薪酬份额不变,“普通”工人的薪酬在净增加值中的份额可能会显著下降。然而,可获得的数据表明管理人员薪酬并没有非常迅速的增长。在1985年12月至2007年12月间,全部私人企业工人的小时名义薪酬增长了120%,而私人企业的“管理、商务和财务经营”岗位上的雇员薪酬只有稍快一点儿的增长,它增长了128%。[2]
由于这些岗位上的雇员所占比例不超过总人数的10%,因此其他雇员薪酬的增长率接近于全部私人企业工人的薪酬增长率,据我估算后者为118%。如果我们假定这些增长率也适用于公司,并且管理人员在1985年12月得到了总薪酬的12%到27%——情况几乎总是如此,那么,简单的计算表明,薪酬构成自那时到2007年末的变化,只造成了非管理层雇员的薪酬占净增加值份额的轻微下降,下降幅度在0.3到0.7个百分点之间。因为可获得的数据极为有限并且很不完整,所以除此之外无法多说什么。[3]
无论如何,“普通”工人份额的轻微下降并没有带来利润份额的上升,它也没有减少公司利润率的下降,这是因为公司并不是普通工人份额下降的受益者。管理层雇员是受益者。由于高管(top executives)薪酬的某些部分或许还有其他管理人员和专业人士所获得的薪酬的某些部分,实际上是剩余价值而不是劳动收入,因此,如果一个人要分析收入的分配、剩余价值的分配或剩余价值对预付资本比率变动的原因和影响,那么它们在总薪酬中所占份额的增长就具有重要意义。但是在这里它不具有特别重要的意义,因为我要分析的是公司利润率的变动。管理人员薪酬不是公司利润:它并不归于公司。相反,它是使公司利润减少的成本。
哈森(2010)最近评论了这一问题,他写道:
克莱曼创造了一个既不是剩余价值也不是可变资本的〔管理人员工资〕类别,他强调这些收入流出了企业。这是一个很有疑问的观点:根据这一观点,支付给股东的股息也不是剩余价值,因为,根据定义,这些利润没有被公司所保留。
[4]
但是,这个问题不是某种类型的收入是否“被公司保留”或者“流出了公司”。这个问题是,这种类型的收入最初是否属于公司。股息支付属于,而管理人员薪酬则不属于。
前面所考察的数据具有几个重要的含义。首先,尽管利润率自1980年代早期以后未能恢复这一观点,与我们所设想的自那以后利润份额上升似乎是矛盾的,但是一旦我们了解到利润份额是固定不变的,这个矛盾就消失了。其次,相对固定的利润份额意味着,利润率的下降主要不是一个分配现象。图7.3有助于澄清这一事实。如果在1929至2007年整个时期中财产收入始终占净增加值的一个固定的百分比,那么,这种情况下的利润率就是固定利润份额的利润率。[5]固定利润份额的利润率的变动与现实利润率的变动非常近似,这是因为现实利润份额实际上始终是相对固定的。
图7.3 现实利润率和固定利润份额利润率
(财产收入利润率)
第三,然而利润份额在二战以后时期中的轻微下降有助于说明一小部分的利润率下降。[6]注意到图7.3中,现实利润率在1940至1969年间几乎总是高于固定利润份额利润率,但自1970年以来几乎总是低于它。这种转变反映出在1960年代后半期利润份额出现了显著的下降。在1947至2007年间,财产收入利润率下降了27.6%,而利润份额下降了2.7%。其余的利润率下降可以被归结为固定利润份额利润率的25.5%的下降,或者相当于说,净增加值对预付资本的25.5%的下降。(这一比率的变化是固定利润份额利润率变化的唯一来源。)因此,大约10%的利润率下降,可以被归结为利润份额的下降。
然而,即使把利润率下降的10%归结为利润份额的下降,它也会造成误导。如图7.2所示,在1947至1965年间,或者在1970至2007年间,利润份额并没有显著地变化,因此,利润率在这些时期中的下降几乎全都不能归结为利润份额的下降。
“剩余价值率”和“资本有机构成”
我常常被问到,利润率的下降中有多少是由剩余价值率的下降所引起的,有多少是由资本有机构成的上升所引起的。对此我能够给出的最简单的回答是:由于利润份额基本上是固定的,财产收入对雇员薪酬的比例也是如此。所以,几乎全部的利润率下降,都是由预付资本对雇员薪酬比率的上升所引起的。
这个回答很简单,但它似乎回避了实际提出的问题,因为它使用了不同的术语。下面的回答使用了提问者的术语,但却复杂得多。
复杂程度上升的部分原因在于,就像我在第五章附录中所讨论的那样,我在这里对衡量或分解“马克思主义的”利润率并不感兴趣,我在本书中所使用的变量是以BEA的概念为基础的,而不是以马克思的概念为基础的。此外,不变资本对可变资本的比率,马克思称之为资本的价值构成,与他所说的资本有机构成是不同的。(如我下面对此所做的更为详细的讨论那样,有机构成的变化基本上是由技术构成的变化所导致的,而价值构成还受到其他因素的影响。)复杂程度的上升,还因为BEA的数据是名义变量,没有对MELT变化进行调整。
就是说,要记住我们正在使用与马克思不同的术语,我们可以使用启发式方法(heuristic device),用下面这种方式来重新描述那些参与利润率决定的变量:
| 变 量 | 启发式重新描述 | 符号 |
| 财产收入 | 剩余价值 | s |
| 固定资产历史成本 | 不变资本 | c |
| 雇员薪酬 | 可变资本 | v |
| 财产收入对雇员薪酬的比率 | 剩余价值率 | s/v |
| 固定资产历史成本对雇员薪酬的比率 | 资本价值构成 | c/v |
只要一个人愿意,他可以把左侧栏内的变量看做是对马克思的变量的近似替代。如果一个人不想这么做,他也可以不这么做。争论它们是不是好的近似替代是没有意义的,这是因为即使真的有“马克思主义的”利润率这么一个东西存在的话,它也不是我在这里所关心的。不管一个人怎么称呼这些变量,它们都具有同样的意义和同样的重要性。
对于所讨论的这个特定的利润率——即财产收入对固定资产历史成本的百分比,由于雇员薪酬并没有出现在它的分母上,因此这个利润率是:
s/c=(s/v)·(v/c)
其中v/c是资本价值构成的倒数。当价值构成上升(下降),v/c下降(上升)。尽管利润率可以被表示为剩余价值率除以资本的价值构成,但上述表达式使我们能够把利润率的变化分解为两个部分之和,这是因为:
(s/c)变化的百分比=(s/v)变化的百分比+(v/c)变化的百分比
图7.4显示了利润率及其构成要素自1947年以来累计变化的百分比。一方面,我们看到,利润率的短期变动受到剩余价值率的强烈驱动;前者总是随着后者而上升和下降。然而,由于剩余价值率在整个时期都保持大致固定——它在2007年的数值只比1947年数值低3.9%,因此它对利润率的长期影响是极小的。相反,在1947至2007年间,价值构成的倒数下降了24.6%。利润率的下降只比它略多一点儿,为27.6%。因此,利润率在这60年期间的几乎所有下降——89%的下降,可以被归因于资本价值构成的上升。
图7.4 利润率的标准分解
(财产收入利润率及其组成自1947年以后变动的百分比)
图7.4还表明,在1947至1968年间,以及1970至2003年间,剩余价值率都只有极小的变化。这意味着,利润率在这两个子时期中的几乎所有下降,也可以归因于资本价值构成的上升。
本节的结论与马克思的LTFRP是一致的。这一规律说的是,在资本主义下劳动节约型技术进步引起了资本的技术构成和有机构成的提高,因而资本的价值构成同样也趋于上升,价值构成的上升进而倾向于降低利润率。例如在1965至1970年这样的时期中,剩余价值率的急剧下降导致利润率急剧下降,如果把这种情况看做是例外而不是规律,那么它们同这个规律是相容的。[7]
尽管这些结果与马克思的规律相一致,但我并不想宣称它们证明了这一规律。这里所分析的是一个单一的国家,而不是全世界的社会总资本,因此所考察的变量充其量只是马克思的变量的近似替代。
马克思的变量与上面所考察的那些变量之间的一个区别是,我所衡量的可变资本是雇员的总薪酬,而不是普通工人(无产阶级)的薪酬。但就像我在上一节所讨论的那样,由于普通工人的薪酬在过去四分之一个世纪中增长得几乎与总薪酬一样快,因而使用总薪酬的数字并不会显著影响我对s/v和v/c的增长率的估计。
另一个重要的区别是,我的变量是名义量,因此受到MELT变化的影响。相反,马克思对LTFRP的讨论隐含地抽象了MELT的变化。否则,诸如“这200万工人的总劳动……就总是生产出同样大小的价值量”(马克思1991a:323)①这类表述就会是荒谬的。
① 〔德〕马克思:《资本论》第3卷,北京:人民出版社2004年版,第241页。——译者注
对MELT变化的调整,不会影响剩余价值率,这是因为同一个MELT被用来同时平减剩余价值和可变资本。但是,在其他条件相同的情况下,MELT的上升会引起可变资本增长的百分比大于不变资本增长的百分比。这是因为所有的可变资本都会随MELT的上升而增加,但只有一小部分不变资本——即在MELT上升后进行的投资会随之而增加。因此,MELT的增长倾向于降低资本的名义价值构成。这就是为什么名义价值构成的倒数在1961至1979年这个通货膨胀不断加速的时期中显著上升的原因(见图7.4)。如果消除了这一时期MELT的变化,价值构成的倒数就会降低5%。[8]因此,虽然资本名义价值构成的下降或许初看上去同马克思的规律的一个关键前提相矛盾,但它实际上并非如此。
图7.5清楚地表明,名义价值构成的变动,极不同于LTFRP隐含所指的经MELT调整的价值构成的变动,也极不同于资本的技术构成和有机构成的变动。技术构成,作为对技术变革的一个衡量,是用一个生产资料数量指标除以被雇用的工人数量。根据定义,有机构成的百分比增长率等同于技术构成的百分比增长率,这是因为马克思对有机构成的定义表明,它“由资本技术构成决定并且反映技术构成变化”(1990a:762)①。为了得到技术构成和有机构成的增长率的一个近似值,我用公司固定资产实物数量的指标除以私人企业中“等同于全职工作”的雇员人数,并且计算了这一比率变化的百分比。[9]
① 〔德〕马克思:《资本论》第1卷,北京:人民出版社2004年版,第707页。——译者注
图7.5 资本构成,美国公司
(对1947年资本构成的百分比)
在最近60年中,资本的技术构成和有机构成几乎一直在颇为迅速地上升。它们在1947至2009年间的年均增长率为1.7%。总的来说,经MELT调整的价值构成紧密地跟随着技术构成和有机构成,并且它上升得几乎也一样快,平均每年上升1.5%。相反,资本的名义价值构成增长慢得多。它在1961至1999年间总共增长不到0.1%。
MELT的变化还会造成如下两个利润率的变动不一致,一个是这里已经分析过的观察到的名义利润率的变动,另一个是LT-FRP所指的经MELT调整的利润率的变动。因此,只考虑名义利润率及其组成要素的变动的分析,并不能正确地检验这个规律。作为对这个规律的一个检验,并且作为对美国公司利润率的观察到的变动的一个解释,下面的分析要好得多,这是因为它把MELT的变化看做是一个单独的变量,看做是盈利能力变化的一个单独的来源,分离了MELT的变化。因此,重复一遍,上面所报告的结果与马克思的规律是一致的,但我并不是在宣称它们证明了马克思的规律。
名义利润率的可供选择的分解
影响名义利润率的一个因素是利润份额。我们已经看到,利润份额在过去六十多年中只略有下降,并且自1970年以后它一直是固定的,因此这个因素只能说明极少一部分的利润率下降。
影响名义利润率的另一个因素是MELT。如果商品的价格对其劳动时间价值的关系上升——情况几乎总是如此,MELT就上升。但是,这并不意味着名义利润率几乎总是相对于经MELT调整的利润率上升。如果MELT上升,但其增长率保持不变,那么名义利润率和经MELT调整的利润率之间的关系就将保持不变(见Kliman,2007:129—132)。然而,如果MELT上升得更快(更慢),商品的名义价格也会相对于其劳动时间价值上升得更快(更慢)。其结果是,名义利润率相对于经MELT调整的利润率上升(下降)。
图7.6显示这一因素对利润率也几乎没有影响。名义利润率和经MELT调整的利润率之间的缺口在一个相当狭窄的区间内波动。此外,这个缺口在过去60年中几乎没有波动(点虚线是趋势线)。[10]换句话说,名义利润率和经MELT调整的利润率下降了几乎相同的数量。
图7.6 名义利润率和经MELT调整的利润率之间的缺口
(财产收入利润率之间的百分点差距)
由于利润份额和MELT的变化对利润率几乎没有影响,因此几乎全部名义利润率的下降都可以被归结为,在我们保持利润份额不变并且也对MELT的变化进行了调整之后所得到的利润率的下降。我将把后面这个利润率称之为固定利润份额的经MELT调整的利润率(CPS-MA利润率)。它是名义利润率在下面这些条件下所呈现的水平:即财产收入在净增加值中所占份额完全保持不变,并且价格没有相对于商品的劳动时间价值上升。如图7.7所示,1947至2004年间,名义利润率、经MELT调整的利润率(MA)以及CPS-MA利润率下降了几乎相同的数量——分别为13.2、13.7和12.4个百分点。因而,在这一时期,CPSMA利润率的下降解释了名义利润率的94%的下降。
但是,CPS-MA利润率为什么下降?是什么在二战以后时期的进程中发生了变化导致它下降?答案原来不是有多大变化——而是不需要什么变化就能使某种东西下降。设想一对22岁的夫妇举办一个聚会。因而聚会开始时参加聚会的人的平均年龄是22岁。随后客人们陆续到来,所有的客人都是10岁;随着越来越多的客人到来,参加聚会的人的平均年龄越来越接近10岁。参加聚会的人的平均年龄持续下降,尽管在聚会的整个期间什么都没有改变。第一个客人和最后一个客人以及之间的所有客人都是10岁。
图7.7 可供选择的名义利润率分解
(财产收入利润率)
利润率的例子中所发生的情况与此类似。二战后期开始之时,CPSMA利润率是22%。但是如图7.7所示,新投资的CPS-MA利润率(CPS-MA-NEW),即增加的利润对增加的预付资本的百分比要低得多。[11]它在1948至2000年间平均为10%。因此总CPS-MA利润率下降得越来越远;在1991至2000年间,其平均值低于11%。
CPS-MA-NEW趋于下降,但是直到2000年以前它的下降是温和的,并且在正常检验水平上不具有统计显著性。[12]因此,总利润率的下降几乎全都不能归因于新投资利润率的下降。总名义利润率之所以下降的主要原因是,CPS-MA-NEW几乎总是低于现有的CPS-MA利润率——即过去的投资所产生的平均CPS-MA利润率。对此换一种方式来表示,战后繁荣开始时所存在的名义利润率之所以下降,并且不得不下降,是因为它高得不可持续。它高得不可持续,是因为在随后的整个60年中,用CPS-MA来表示的新投资的回报率太低,以至于使它不能持续。[13]
但是,为什么新投资的回报率如此低?答案是在整个时期中就业增长的比预付资本慢。这就是马克思的LTFRP解释利润率下降趋势的方式,同时它也是低水平的CPS-MA-NEW和相对固定的利润份额这些事实所暗示的现象。
换言之,如果CPS-MA-NEW低并且利润份额相对固定,这几乎就像是定义一样意味着,就业相对于资本积累的增长低。我说“几乎就像是定义一样”是因为,由于缺乏公司数据,我们必须做出一个假定以估计其增长。假定在公司部门和在全部私人企业部门中每雇员净增加值的增长率相同——这一假定是非常合理的。给定这一假设,那么根据CPS-MA-NEW的定义和相对固定的利润份额,它可以推导出新投资的经MELT调整的回报率近似地等于公司雇员的百分比增长率除以公司积累的新增资本(表示为对其利润的份额)。因此,如果雇员增长相对于资本积累较慢,那么新投资的经MELT调整的回报率就将会较低。
本章末尾附录中对这一结果进行了推导。这个推导过程多少有些乏味并且没有什么启发意义。在这里,它或许有助于表明马克思的理论蕴含着一个极为紧密相关的结果。
令s表示剩余价值,C表示总预付资本,两者都用劳动时间来表示。马克思的利润率是s/C;相应的新投资利润率是△s/△C。现在,
△s=△(〔s/E〕·E)
其中E是被雇用的工人的数量。让我们假定劳动强度固定不变;那么E就是对所实现的活劳动量的一个精确衡量。在马克思的理论中,用劳动时间来表示的新增价值也等于所实现的活劳动,这是因为活劳动创造了全部新价值。由此得出结论,如果利润份额——在这里是剩余价值对新增价值的比率——是固定的,那么s/E就是固定的。因此,
△s=△(〔s/E〕·E)=〔s/E〕·△E=s·(△E/E)=s·(%△E)
其中%△E是雇员的百分比增长率。因此新投资的利润率是
△s/△c=(s〔%△E〕)/△C =%△E /(△C/s)
即雇员增长率对积累的追加资本(表示为对剩余价值的份额)的比率。如果这个比率比s/C低,那么s/C必然下降。
因此,本节报告的这些结果表明,马克思的利润率下降趋势规律与事实符合得非常好。名义利润率下降的主导原因是利润率向着新投资的较低的利润率下降这个显著的趋势。后一个利润率取决于这个规律所确定的同一关系——即雇员增长率和资本积累之间的关系。
因此,CPS-MA-NEW利润率在二战后整个时期中都低于总CPS-MA利润率这一事实是极其重要的。根据这一事实,利润率的下降不再是一个谜。它完全是我们应该预料到的。利润率下降,是因为新投资的资本始终不能产生足够的对活劳动的额外雇用以维持利润率的现有水平(还因为由此产生的利润率下降的趋势没有被利润份额的上升或MELT更快的增长率所抵消)。
无形损耗:持续存在的资本价值的消灭
生产资料折旧(损失价值)的一个原因是它们正在变得陈旧过时。马克思把这一现象称之为“无形损耗”:
……机器除了有形损耗以外,还有所谓无形损耗。只要同样结构的机器能够更便宜地再生产出来,或者出现更好的机器同原有的机器相竞争,原有机器的交换价值就会受到损失。(马克思,1990a,528)①
① 〔德〕马克思:《资本论》第1卷,北京:人民出版社2004年版,第465页。——译者注
本节我将表明,过去几十年的信息技术革命已经导致无形损耗大幅增长。由于BEA和马克思以不同的方式看待无形损耗,因此它的增长已经引起BEA所衡量的利润率相对于剩余价值大幅度下降。然而,无形损耗对利润率的影响更加复杂,这是由于折旧就像影响利润一样也影响着预付资本。我的估算表明,额外的无形损耗减少的预付资本要多于它减少的利润。因此,以BEA的概念为基础的利润率的下降,远远少于剩余价值对预付资本比率的下降。这表明,前面讨论的利润率数据所显示的美国资本主义在最近几十年中的运行状况比它的现实运行状况好。
作为信息技术革命的结果而一直在发生着的资本价值的消灭,非常13类似于在危机中发生的资本价值的消灭,只是它以一种更加缓和与持久的方式发生着。因此,技术革命似乎是过去几十年中经济相对停滞的一个重要原因。
定义
BEA的利润衡量是对剩余价值——换言之从生产中得到的利润——的一个糟糕的代表,这主要是因为BEA对待无形损耗的方式。这种折旧并不影响所创造的剩余价值的数量,但它确实降低了BEA所衡量的利润。
BEA把折旧定义为“由磨损、陈旧过时、意外损坏和老化而造成的价值下降”(Katz和Herman,1997:70)。由于它没有区分陈旧过时和折旧的其他原因,因此这个定义把它们全部都看做是减少利润和预付资本净存量的因素。然而马克思对待因陈旧过时而引起的固定资产价值下降的方式,不同于对待它们由磨损引起的价值下降的方式。[14]
这种差别是他的这一理论——即任何商品的价值都是当前再生产同种商品所需要的平均劳动(活劳动和过去的劳动)数量的货币表现——的结果。如果一项固定资产发生了无形损耗,生产它的过程中所付出的一部分劳动,在再生产新的同种固定资产的过程中不再需要,这就降低了用它所生产的商品的价值。因此,如果这些商品按照其价值被卖掉(根据马克思的理论,这一点在总体上是正确的),那么为获得这项固定资产所花费的一部分货币将不会得到补偿。相反,如果折旧是由固定资产的实物磨损所造成的,那么为了生产同种固定资产,仍然需要全部过去用来生产它的劳动。因此,如果用它所生产的商品按照其价值售出,那么为了得到它而花费的货币将全部得到补偿。
例如,假设购买一台机器花费了10000美元。如果它所发生的唯一的折旧是由磨损造成的折旧,那么在其他条件不变的情况下,全部10000美元都将得到补偿。在马克思的术语中,这台机器的耗尽,将把10000美元的价值“转移”到用它所生产的产品中。另一方面,如果这种机器的价格由于技术改进而下降到7000美元,那么即使在这一台机器能够被用于生产之前,生产它所花费的30%的劳动在生产同类机器的过程中不再需要,因此,如果用它所生产的产品按照其价值被卖掉,那么它初始成本中的30%,即3000美元,就将得不到补偿。因此,这台机器的耗尽,只向其产品“转移”了7000美元的价值,而不是10000美元的价值。“如果,由于一种新发明,同种机器可由较少的劳动耗费再生产出来,那么旧机器就要或多或少地贬值,因而转移到产品上去的价值也要相应地减少。”(马克思,1990a:319)①
简言之,当一项固定资产发生无形损耗时,其所有者就会出现损失。因此马克思谈到“无形损耗的威胁”,并且他认为,由于资本家力图在他们的机器变得陈旧过时之前快速耗尽它们以避免这一威胁,“因此,在机器的最初的生活期,这种延长工作日的特别动机也最强烈。”(同上,528)②
① 〔德〕马克思:《资本论》第1卷,北京:人民出版社2004年版,第244页。——译者注
② 〔德〕马克思:《资本论》第1卷,北京:人民出版社2004年版,第466页。——译者注
在马克思的理论中,工人的剩余劳动是剩余价值(生产中所产生的利润)的唯一来源。由于无形损耗不会改变作为剩余劳动数量决定因素的工人工资和工人所实现的劳动这两者中的任何一个,因此它也不会改变剩余价值。但是BEA对待无形损耗就像对待实物的磨损一样,把它从利润中扣减掉。因此,它的利润数字衡量的不是剩余价值,而是剩余价值减去因无形损耗带来的损失。
因为BEA没有估算有多少折旧是由陈旧过时导致的,并且似乎也没有独立的估计可用,所以不可能直接测定剩余价值和所实现的利润之间差距的程度。如果无形损耗对预付资本的百分比大致是固定的,那么这个问题或许不是一个重要的问题。在那种情况下,尽管无形损耗可能会改变利润率的水平,但它并不会对利润率的趋势产生重大影响。
无形损耗的提高
然而,有充分的理由怀疑无形损耗对预付资本的百分比已经显著地提高。首先,折旧率,即折旧对预付资本的百分比,在过去半个世纪中大幅上升。其次,这一上升完全是由对软件、计算机和其他信息处理设备的使用不断增加所导致的,而这些设备折旧非常快。最后,这些设备所发生的几乎全部折旧似乎都是无形损耗。合起来看,这三点暗示着无形损耗对预付资本的百分比已经大幅增加。
这里有最为突出的事实。如图7.8所示,在1950年代保持稳定的平均折旧率,在1960至2000年间快速上升,从大约7%上升到大约11%。[15]当然,在同一时期,企业对信息处理设备和软件(informationprocessing equipment and software,IPE&S)的使用也出现了惊人的增长,从不到其固定资产的5%上升到18%以上。[16]由于绝大多数IPE&S比其他固定资产折旧的快得多,因此这导致了平均折旧率上升。
例如,“BEA折旧估计”(美国商务部,2008)中公布的估算表明,在报告所列的107种不同的设备与软件中,预打包软件的“使用年限”最短,而定制软件和“自行开发(own-account)”软件的使用年限比这张表中其他任何种类的设备都更短——除了核燃料(见表7.1)。[17]“办公、计算和会计机器”的估计使用年限同样也低于平均水平,并且它自1978年以后出现了下降。表7.1还提供了取自另一份BEA出版物(美国商务部,经济分析局,2003,M—30,表B)的数据,它们是5年期二手汽车和计算机设备的转售价值。毫不奇怪,5年期二手汽车几乎值新车价值的三分之一,而5年期二手个人计算机和打印机几乎只值新机器的14%。
图7.8 折旧率,美国公司
(历史成本折旧对固定资产历史成本的百分比)
表7.1 计算机设备的快速折旧
| | 使用年限 |
| 预打包软件 | 3年 |
| 定制软件 | 5年 |
| 自营账户软件 | 5年 |
| 核燃料 | 4年 |
| 办公、计算和会计机器 | |
| 1978年以前 | 8年 |
| 1978年以后 | 7年 |
(续表)
| | 使用年限 |
| | 私人非住宅设备的使用年限 |
| 年数 | 3~5 | 6~10 | 11~15 | 16~20 | 21~25 | >25 |
| 所有107个设备各类的百分比 | 3.7% | 14.0% | 38.3% | 25.2% | 12.1% | 6.5% |
| | 5年期资产的价值对新资产价值的百分比 |
| 汽车 | 32.6% |
| 计算机及外围设备 | |
| 个人计算机 | 10.6% |
| 打印机 | 13.4% |
| 计算机存储设备 | 17.7% |
| 终端及显示器 | 22.2% |
| 磁带驱动设备 | 29.2% |
| 注:本表所有数据均来自美国商务部经济分析局(2003)和美国商务部(2008) |
在2003年的一篇论文中,特夫林(Tevlin)和惠兰(Whelan)指出,计算机使用的增加是折旧率自1990年代以来的大部分上升的来源:“一旦排除了计算机,估计的折旧率随着时间的推移只表现为一个缓慢与温和的上涨。”(2003:7)重要的是要注意到他们只排除了“计算机及外围设备”,而它们只占企业IPE&S资产总折旧的一小部分。2009年,IPE&S总折旧中的49%是软件的折旧,而计算机及外围设备的折旧只构成总折旧的17%。
如果我们排除了所有IPE&S资产,其结果是,二战以后折旧率的全部上升都会消失。如图7.9所示,美国企业所有其他固定资产的平均折旧率在整个时期中始终没有趋势并且相当稳定。因此折旧率的全部上升都可以归因于企业对快速折旧的IPE&S的使用的增加。
现在,几乎所有的计算机和计算机相关设备的折旧似乎都是无形损耗。软件不存在实物磨损。对计算机硬件而言,在一篇考察1984至2001年间生产的康柏(Compaq)和捷威(Gateway)计算机的折旧的论文中,盖斯克、雷米和夏皮罗(Geske,Ramey andShapiro,2004,表9)估计,它们的总折旧中平均只有八分之一是由(“与年限相关的”)磨损导致的。其余为无形损耗;其中一半是由严格意义的“陈旧过时”所导致的,而总折旧的八分之三是“零岁”计算机的折旧,即它们一开箱就发生的折旧。
图7.9 非IPE&S折旧率,美国企业部门
(IPE&S=信息处理设备和软件)
由于IPE&S使用的增加是折旧率的全部增长的原因,以及几乎所有计算机和软件的折旧都是无形损耗,因此可以合理的假定折旧率的全部增长都是额外无形损耗的结果。模拟结果表明,这一假定是非常现实的:额外无形损耗引起的折旧率增长的比例,不可能大幅度偏离100%。[18]
无形损耗增加造成的损失
在这一假定的基础上,我计算了由无形损耗的增加所带来的损失——即利润的减少。估计的无形损耗的增加量——即损失,是BEA报告的折旧数字减去我所估计的这样一个折旧数字,它是当总折旧增长率与公司非IPE&S资产折旧增长率相同时的折旧数字。[19]
图7.10显示了由无形损耗导致的损失对经调整的利润(它是BEA报告的利润加上估计的无形损耗的增加量)的百分比。在1980年代早期至中期,这种损失快速增长,达到了高得惊人的水平。此后,以百分比来表示的损失一直维持在相当高的水平上(除了上一个十年的中期,当时利润短暂飙升)。在1990至2009年间,损失平均等于税后利润的27%、税前利润的21%以及财产收入的13%。
图7.10 额外无形损耗带来的损失,美国公司
(对经调整的利润的百分比)
这意味着,剩余价值中有一个较大的份额因无形损耗带来的损失而没有实现为利润。没有办法精确地知道这个份额有多大,因为我们不知道总的无形损耗的程度;我只是估算了它的增加量。如果我们假定——这个假定是不符合实际的,在信息技术革命造成这种增加之前不存在无形损耗,那么上一段所报告的百分比就是在1990至2009年间未能实现为利润的剩余价值的百分比。但是它们是最小百分比。无形损耗每额外增加一美元,都会提高一美元的损失和经调整的利润,这会增加损失对经调整利润的百分比(因为分子小于分母,分子相对增加得更大)。
我们将会在下面看到,无形损耗的增加如何影响对利润率的估计。然而在此之前我们需要注意到,它就像影响利润率的分子一样,同样也影响着利润率的分母,即预付资本。这是因为我的预付资本数据指的是资本的“净存量”。资本净存量的追加额,即净投资,是总投资减去折旧。因此无形损耗同时降低了BEA所衡量的利润和预付资本。无形损耗对利润率的影响大体上是不确定的。然而,随着时间的推移,预付资本与利润相比容易出现数量相对更大的下降,这是因为资本净存量的减少与利润的减少不同,它是累计的和持久的。例如,如果一台机器出现了值3000美元的无形损耗,那么此后资本净存量就永远减少3000美元。
因此,BEA基础上的利润率的分子是所实现的利润(剩余价值减去由无形损耗带来的损失),分母则是预付资本减去由无形损耗带来的损失。但是,剩余价值对预付资本的比例是什么,我们还是不知道;因为我们不知道BEA报告的折旧中有多少是无形损耗。尽管如此,估计无形损耗的增加量对利润率的影响仍然是可能的。
上面解释了我对无形损耗增加量的估计。要计算这一增加量对财产收入利润率的影响,我用估计的每一年额外折旧加上BEA基础上的当年财产收入的估计值,得到了经调整利润的估计值。预付资本的估计值是通过估计的每年额外折旧加上(以历史成本表示的)净投资得到的。BEA的某一年年初的预付资本数字,是前一年年初预付资本加上前一年的净投资,而我的经调整的预付资本数字还包括了估计的前一年额外折旧。
图7.11显示了这种调整如何影响这两个变量。与经调整的财产收入衡量相比,经调整的预付资本衡量增长了更大的百分比,这是因为,如上面所强调的那样,额外折旧以累计的方式永久地降低了预付资本而不是利润。
图7.11 对超额折旧调整后的变量
(对未经调整变量的百分比)
图7.12显示了这种调整怎样影响了财产收入利润率。在1982年低点至2001年低点期间,BEA基础上的财产对历史成本的固定资产净存量的比率下降了26.9%(从31.2%下降到22.8%)。当把估计的超额折旧加回到分子和分母上去之后,这个利润率下降了34.7%(从29.7%下降到19.4%)。因此,剩余价值对预付资本这一比率下降的百分比,比BEA基础上的利润率下降的百分比大29%。同样值得注意的是,这种调整消除了利润率在1990年代的绝大部分上升,同时也消除了自2001至2006年间所发生的几乎一半的上升,这表明,BEA基础上的利润率的这些上升,主要是由于BEA没有区分无形损耗和磨损这一事实所带来的。
图7.12 BEA基础上的利润率和经调整的利润率
(财产收入利润率;对1982年利润率的百分比)
上面的分析表明,如果无形损耗没有同磨损导致的折旧区分开来,那么所衡量的利润率相对于剩余价值对预付资本比率将趋于上升。因此,它表明,在评估技术进步对盈利能力的冲击时,或检验马克思的利润率下降趋势规律时,需要密切关注无形损耗。最后,它表明,BEA基础上的利润率的下降,显著地低估了剩余价值对预付资本比率自1980年代早期以来所出现的下降。因此我们得到一个附带的结果,它对新自由主义下资本主义生产的生命力提出了质疑。
技术进步带来了无形损耗,无形损耗有助于支撑所衡量的利润率。这并不意味着技术进步有助于提高利润率。相反,它意味着技术进步降低盈利能力的一种途径是通过无形损耗来实现的,因为它导致实现的利润低于生产中所产生的剩余价值。其他各种形式的资本价值消灭起初导致了降低盈利能力的损失,随后在这些损失被记入账目并且预付资本价值相应减少之后它又提高了盈利能力,在无形损耗的情况下也会出现与此相同结果。无形损耗最终提高了衡量的利润率,是因为它首先引起利润率下降。换言之,利润率随后的上升不是由技术进步本身带来的,而是由簿记损失带来的。
数学附录
定理
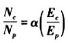
如果净增加值的利润份额保持相对固定,并且每雇员净增加值的增长率在公司部门和全部私人企业部门相等,那么经MELT调整的新投资回报率近似地等于公司就业增长率除以公司积累的追加资本(表示为对其利润的份额)。
定义
| A | 平均利润份额 |
| △CMA | 经MELT调整的所积累的追加资本 |
| EC | 公司就业 |
| Ep | 私人企业部门就业 |
| M | 劳动时间的货币表现(MELT) |
| Nc | 公司净增加值 |
| Np | 私人企业部门净增加值 |
| Лc | 公司名义利润 |
| ЛcMA | 公司经MELT调整的利润 |
证明
CPS-MA利润率的分子是(A·Nc)/M。CPS-MA-NEW的分子是这一表达式的变化量。因为A是一个常数,因此CPS-MA-NEW的分子是:
A·△(Nc/M)=A(Nc)/M)(△〔Nc/M〕/〔Nc/M〕) (1)
由于利润份额是相对固定的,A近似等于现实利润份额(Лc/Nc),因此
将(2)代入(1),我们可以得到
它是CPS-MA-NEW分子的近似值。并且由于我用Np/Ep来代表M,因而(3)可以表示为
现在,如果公司部门和全部私人企业部门的每雇员净增加值的增长率相等,
其中a是一个常数。这意味着
因此
将(4)代人(3'),我们发现,CPS-MA-NEW的分子近似等于
并且由于α是一个常数,(3")可以写为
其中%△Ec是公司就业的百分比增长率。
用(3''')除以CPS-MA-NEW的分母△CMA,我们得到
即,公司就业的百分比增长率除以公司积累的追加资本(表示为对其利润的份额),它是CPS-MA-NEW的近似值。
[1] GDP平减指数报告在NIPA表1.1.4第1行。CPI-U序列可以在BLSA的网页bls.gov/cpi/data.htm中找到;我使用的是年均数字。关于其他变量的资料来源和用来计算它们的方法,见第五章附录。由于实际薪酬和实际净增加值的增长率自1970年以后一直是相等的,由此得出每小时劳动的实际薪酬和生产力(每小时劳动的实际净增加值)同样以相同的速度上升。得出相反结论的那种分析使用了一个价格指数来计算实际薪酬,却使用了另一个不同的价格指数来计算实际净增加值,这实际上是在拿苹果和橘子进行比较(见Bosworth和Perry,1994;Feldstein,2008)。
[2] 这些数字基于BLS的“用工成本指数历史数据:职业和行业系列数据”(可以在tinyurl.com/3ftgl73上找到)中表5所报告的数字。私人企业中位于“专业技术及相关岗位”工人的数字,在同一张表上也有报告,数字显示这些工人的小时薪酬增加了129%。
[3] 迪梅尼尔和莱维(2011:49)在一张图中把美国工薪收入者中工资最高的5%—10%排除在外,这张图似乎表明,自1980年代早期以后,所有其他雇员得到的薪资在公司净增加值中的比重剧烈下降。但是这一调整过程是把苹果和橘子混在了一起。未经这一调整的序列是关于总薪资的序列,而用来调整它的数据则排除了非工资性的报酬(退休金和医疗福利),这种非工资性报酬在低薪资工人的总薪酬中占有相当大的比重。在美国,2008年,个人中位数收入中有12%,而收入最高的10%的个人收入中只有4%,是由医疗保险和个人医疗福利构成的(见BurkHauser和Si-mon,2010:25,表1)。由于这一差别,并且由于非工资性报酬比工资上升得更快,这一调整过程越来越低估了位于较低的90%的工薪收入者所得到的薪酬。它还可能因其他原因而出现虚假的下降,这是因为BEA的数据是公司支付给个人的薪酬,而迪梅尼尔和莱维用来调整薪酬数字的来自于皮凯蒂和赛斯的数据涉及的是“税收单位”而不是个人,也不是个人税单上报告的工资。对前两句话所说要点的进一步讨论,见第八章第一节。
[4] 尽管哈森说我在剩余价值中排除了管理人员的薪酬,但就像我在上面提到的那样,我实际上是在公司利润中排除了管理人员薪酬。
[5] 因此,固定利润份额的财产收入是净增加值乘以自1929至2007年期间的财产收入对净增加值的平均比率。自1947年以来这一平均比率几乎是相同的,因此选择1929年作为数据起点对结果几乎没有影响。关于我的利润率衡量的进一步的信息,见第五章附录。
[6] 然而,它无助于说明利润率在1982年以后没有复苏,这是因为自1970年以来利润份额一直没有趋势。
[7] “因此,最荒谬的莫过于用工资率的提高来说明利润率的降低了,虽然这种情况在例外的场合也是存在的”(马克思,1991a:347;中文引自《资本论》第3卷,北京:人民出版社2004年版,第267页)。
[8] 为了消除MELT的变动,我用每一年雇员薪酬的数字除以该年的MELT,以及使用历史成本固定资产的经MELT调整的序列。对这些变量的数据来源和用来计算它们的方法,见第五章附录。
[9] 固定资产数据报告在BEA的固定资产表6.2第2行。就业序列报告在NIPA表5.5A-D第3行。我使用所有私人企业雇员的数字,是因为无法得到公司雇员的数字。
[10] 这一缺口的相对稳定性需要进一步的研究才能解释。然而清楚的是,从1970年代两位数的通货膨胀到之后由美联储政策所引发的去通货膨胀的衰退,其原因是在货币价格相对于价值的增长率存在着严格的政治限制。资产所有者不会坐等其资产对劳动、商品和服务的控制被通货膨胀快速侵蚀。
[11] 这个利润率是总CPS-MA利润率的分子的年度变化量除以其分母的年度变化量。图中所显示的是10年期中心移动平均值,是因为这个序列波动非常剧烈,但是用来计算其均值和趋势的是新投资的CPS-MA利润率的年度数值。这个序列始于1948年而不是1947年,这是因为1946年是向和平生产时期复原的一个过渡年份。从经济意义上来看,二战后时期起始于1947年,因此复原后变动的第一年是1948年。
[12] 2000年的趋势值比1948年的趋势值低了2.1个百分点。趋势系数的t值是-0.358。CPS-MA-NEW在2000年以后显著下降,导致其自1948年以来的均值从2000年的10.2%下降到2007年的9.3%。
[13] 注意LTFRP并没有暗示,为了使总利润率下降,新投资的利润率必须下降。在马克思(1991a:317)开始讨论LTFRP时所提供的数例中(这个数例在中文版《资本论》第3卷,北京:人民出版社2004年版中在第235页以下——译注),新投资的利润率总是为零,因此它并不下降。(由于在预付更多的资本时剩余价值保持固定不变,剩余价值的变动——即新投资利润率的分子——是零。)但是因为初始总利润率远远大于零(66.7%),在4种情况下额外的预付资本导致它下降(分别下降到50%,33.3%,25%和20%)。
[14] 对于价值的另外两种下降原因——意外损坏和老化,我认为马克思把它们看做是磨损而不是因陈旧过时而带来的价值下降。尽管就我所知他并没有明确地讨论这些因素,但他持有这样一种观点,即在产品生产中所使用的生产资料因其使用价值(实物用途)下降而损失了价值的意义上,产品得到了价值,因而,就老化有别于陈旧过时这一点来说,这种观点适用于老化问题,就像它适用于磨损问题一样。此外,他论证说,由于损耗带来的一定数量的“损失……是正常的,在……平均加工条件下是不可避免的”,因此平均数量的损耗带来的价值损失也被转移到了产品中去。(马克思,1990a:313,中文引自《资本论》第1卷,北京:人民出版社2004年版,第238页)因此,可以合理地推断,因意外损坏导致的平均数量的价值损失同样也转移到产品中去,这是因为它也是正常的和在平均条件下不可避免的。相反,因陈旧过时而导致的价值下降造成了生产资料原先的平均支出超过了它现在“正常的和不可避免的”平均支出。
[15] 第五章附录讨论了我关于固定资产和折旧的历史成本衡量的数据来源和用来计算它们的过程。
[16] 这些数字包括所有私人部门企业的非住宅固定资产的历史成本(报告在BEA固定资产表2.3),而不是只包括公司。BEA没有发布公司的IPE&S资产。信息处理设备和软件的数字报告在第4行。非住宅固定资产总量是非住宅设备与软件(第3行)和非住宅建筑物(第37行)之和。
[17] BEA的折旧数字是以各种类型固定资产的估计使用年限为基础的,而不是以纳税申报单上报告的折旧数字为基础的。一项资产的使用年限越短,它折旧的速度越快。
[18] 取BEA关于美国企业部门自1960至2009年期间的折旧和固定资产数据(两者都是以历史成本计价的),并且给出无形损耗程度的各种假定,我们就能够估计出折旧率的上升中有多少是由无形损耗增加所带来的,如下表所示。估计结果表明,折旧率的全部上升都是由无形损耗的增加所带来的这一假定是现实的。
| 无形损耗(占总折旧的百分比) |
| 非IPE&S | 10 | 40 | 10 | 40 | 10 | 40 |
| IPE&S,1960 | 40 | 55 | 45 | 60 | 50 | 65 |
| IPE&S,2009 | 70 | 70 | 80 | 80 | 90 | 90 |
| 由无形损耗增加带来的折旧率上升的百分比 | 103 | 86 | 118 | 102 | 133 | 117 |
[19] 由于BEA并不报告这个数字,因此这一个数字只能估计。在信息技术革命发生之前的1937至1951年期间,公司固定资产折旧率平均等于所有私人部门非住宅固定资产折旧率的94.96%,并且这两个折旧率之间的比例关系在这一时期是非常稳定的。因此,我用私人部门非住宅、非IPE&S固定资产的折旧率乘以0.9496,得到在总折旧增长速度与非IPE&S固定资产折旧增长速度相同的条件下公司固定资产折旧率的估计值。然后,我用这个折旧率乘以公司总固定资产,得到可能发生的折旧数量的估计值。
上一篇 回目录 下一篇